Trigonometry Graph x^2y^24x2y1=0 x2 y2 4x − 2y 1 = 0 x 2 y 2 4 x 2 y 1 = 0 Subtract 1 1 from both sides of the equation x2 y2 4x−2y = −1 x 2 y 2 4 x 2 y = 1Extended Keyboard Examples Upload Random Compute answers using Wolfram's breakthrough technology & knowledgebase, relied on by millions of students & professionals For math, science, nutrition, history, geography, engineering, mathematics, linguistics, sports, finance, music2 ( a) Use two power series in x to find the general solution of ( 1 x 2) y ″ 4 x y ′ 2 y = 0 and state the set of x values on which each series solution is valid ( b) Convert the power series
Prove That The Conic X 2 4xy Y 2 2x y 11 0 Is A Hyperbola And Find The Centre H K Mathematics Stack Exchange
(x^2+1)y''-4xy'+6y=0 power series
(x^2+1)y''-4xy'+6y=0 power series-(x^2−1) y'' 4xy' 2y = 0 \tag{1} Use the method of grouping to get two product rule derivatives (x^2−1) y'' 4xy' 2y = 0 x^2y''I'm working on finding the general solution of ( x 2 − 1) y ″ 4 x y ′ 2 y = 0 in powers I assume the form y ( x) = ∑ n = 0 ∞ C n x n My basic strategy is to first figure out each piece individually,



Solved Find The General Solution In Powers Of X Of The Chegg Com
Answer What is the solution to the differential equation (1)?First write the above equation as y'' (4x/x^2 1)y' (2/x^2 1)y =0 Now put y =u and y'' = v Then y'' = v' = (2/x^2 1)y (4x/x^2 1)y' So we get a system of I order equations du/dx = v,About Press Copyright Contact us Creators Advertise Developers Terms Privacy Policy & Safety How works Test new features Press Copyright Contact us Creators
Let the slope of line from (0,0) to the intersection point be m substituting y=mx in xy=2 we get x=\frac {2}{1m} and y=\frac {2m}{1m} substitute in the other equation \frac {4}{(1m)^2} \fracVIDEO ANSWERthe differential equation is why the Monash minus two Y Is equal to zero Using the operator B squared minus 210 That is the characteristic equation is G square minus studentTranscribed image text Solve (x^2 1)y" 4xy' 2y = 2/x 1 such that the general solution obeys the initial conditions y(0) = 1 and y'(0) = 5 and given that y_1 = 1/x 1 and y_2 = 1/x 1 are
Divide \frac{4y}{y1}, the coefficient of the x term, by 2 to get \frac{2y}{y1} Then add the square of \frac{2y}{y1} to both sides of the equation This step makes the left hand side of the



Find A Series Solution About The Point X 0 Of 1 X 2 Y 2xy 2y 0 Youtube



Solved 13 Find The Value Of The Line Integral 4xy Dx 2x2 2y2 Dy Where C Is An Ellipse 1 From 3 0 0 2 Hint If X Y 4ryi 2x 2y Is Conservative



Solved Solve The Following Differential Equation By Variable Separable Course Hero



Solved Find The General Solution In Powers Of X Of The Chegg Com



Solved In Problems 1 18 Solve The Given Differential Equation 1 Xy 2y 0 2 4xly Y 0 3 Xy Y 0 4 Xy 3y



Functions Of Severable Variables



Answered 1 For Each F X Y 0 Find Dy Dx For Bartleby



A Seek Power Series Solutions Of The Given Differential Eq Quizlet



2



Solved For The Density Function Of Exercise 3 18 Find F X And Use It To Evaluate P 3 S X Lt 4 Reference Exercise 3 A Continuous Random Var Course Hero



Misc 7 Show That General Solution Is X Y 1 A 1 X Y 2xy



Solved Find The General Solution In Powers Of X Of The Chegg Com



How To Solve The Differential Equation 1 X 2 Y 4xy 6y 0 Quora



Xd 2y Dx 2 1 2 X Dy Dx By 0 Where B Is A Constant A Locate And Classify The Singular Points Of This Equation In The Extended Plane Sarthaks Econnect



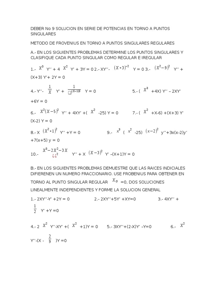
Deber No 9 Solucion En Serie De Potencias En Torno A Puntos Singulares Pdf Ensenanza De Matematica



Assign 2 0 Mth 421a Assignment 2 Are The Following Functions Linearly Dependent On The Given Studocu



2



Solved Consider The Differential Equation 3y 4xy 2 Dx 2x 3x 2 Y Dy Course Hero



Find The Value Of K If 2x Y 0 Is One Of The Lines Given By 3x 2 Kxy 2y 2 0



How To Solve The Differential Equation 1 X 2 Y 4xy 6y 0 Quora



How Could I Write This Equation X 2 1 Y 4xy 2y 0 In Principle Fundamental Matrix Solution Of The First System In Ode Quora



What Is The Solution To The Differential Equation Math 1 X 2 Y 2xy 2y 0 Math Quora



Solved In Exercises 0 Determine Whether Or Note Each Of The Given Equations Is Exact Solve Those That Are Exact 3x 2y Dx 2x Y Dy 0



Solved Find The Particular Solution Of Y 2x 2 Xy Y 2 Dx X 2 2x 1 Dy 0 Course Hero



How To Solve A Differential Equation With Series X 1 Y Xy Y 0 With Y 0 2 Y 0 6 Youtube



Solved Use Power Series To Solve X2 1 Y 4xy 2y 0 2 Chegg Com



What Is The Solution In Powers Of X 2 1 Y 4xy 2y 0 Quora



Solved Consider The Differential Equation 3y 4xy 2 Dx 2x 3x 2 Y Dy Course Hero



2



Solved Can Someone Help Me With Any Questions After 1 1 State Whether The Given Ordinary Differential Equation Is Linear Or Nonlinear Determine The Order Of Each Equation A 1 X Y 4xy



Solved Differentiate The Following Y 2 Y 3 2 X Y O 1x 4 Y 0 2x 2 8x 2 Y 2e 2x 0 1x 2 Y 5x 0 2 12 Y 0 1x2 Y 4 Ln 0 4x Y 0 Course Hero



2



What Is The Solution Of This Second Order Differential Equation Y 4y 8y 0 Quora



Mcq Differential And Ordinary Differential Equation



2



Answered Q1 Find The General Solution 4x Y Bartleby



Solved Verify That Y1 1 X 1 And Y2 1 X 1 Are Solutions Chegg Com



Solved Verify That Y 1 1 X 1 And Y 2 1 X 1 Are Chegg Com



Solved Solve The Initial Value Problem By Using Power Chegg Com



How To Evaluate Y 3y 7y 0 Y 0 1 Y 0 2 Quora



Variations Of Parameters For Solving X 2y 4xy 6y X 3 Yc C1x 2 C2x 3 Youtube



Solved 3 2 Problems Find General Solutions In Powers Of X Of Chegg Com



2



Solved 1 Find The General Solutions X 2y 4xy 6y 0 Chegg Com



Solved Problem 2 Consider The Following Differential Equation 4xy 2 X Y 2y Note That X0 0 Is Regular Singular Point Suppose That Wre Look For Series Solution Of The Form



Solved The Point X 0 Is A Regular Singular Point Of The Given Differential Equation 4xy 1 2 Y Y 0 1 Show That The Indicial Roots R Of The Sing Course Hero



Exercises 05 Pdf



Solved 3 Given X2 1 Y 4xy 2y 2x Y 0 0 Y Chegg Com



Chebyshevs Differential Equation Math Assignment Exercises Mathematics Docsity



The Solution Of 2 X 2 Y 2 Dx 4xy Dy 0



2



Solve X 2y Xy 36y 0 Cauchy Euler Differential Equation Example Youtube



1 X 2 Y 2xy 2y 0 Power Series Solution Of Differential Equation Youtube



Solution Find The Equation Of The Tangent Line And Normal Line To The Curve X 2 4xy Y 2 13 At 2 1 F 39 X 2x Xy 2y 0 F 39 X Y 2 2 2 1 2 1 0 4 2 2 8 Slope 8 Y Y1 M X X1 Y 1



What Is The General Solution Of Y 3x 2y 0 Quora



Solved Solve X 2 1 Y 4xy 2y 2 X 1 Such That Chegg Com



How Do You Identify The Conic Section Given By The Equation X 2 4xy 2y 2 6 0 Socratic



2



Solved Find Two Linearly Independent Frobenius Series Solutions For 0 Of Each Of The Differential Equations In Problems 17 Through 26 17 4xy 2y Y 0 18 2xy 3y Ty 0



2



Solved Use Power Series To Solve X2 1 Y 2xy 2y 0 1 Chegg Com



How Does The Equation X 2 4y 2 4xy 4 X 2y 1 Represent A Straight Line Quora



Solved For The Density Function Of Exercise 3 18 Find F X And Use It To Evaluate P 3 S X Lt 4 Reference Exercise 3 A Continuous Random Var Course Hero



Solve The Cauchy Euler Differential Equation X 2y 2y 0 Youtube



Power Series Solution For Y 2y Y X Y 0 0 Y 0 1 Youtube



Rd Sharma Class 11 Solutions Maths Updated For 22 23 Chapter 27 Hyperbola



What Is The General Solution Of Y 3x 2y 0 Quora



X 2 4xy 2y 2 Dx Y 2 4xy 2x 2 Dy 0 Exactequation L499 Maths Pulse Chinnaiah Kalpana Youtube



How To Solve The Differential Equation 1 X 2 Y 4xy 6y 0 Quora



Exact Equations Example 3 Video Khan Academy



Solved The Power Series Solution In Power Of 2 Of The Chegg Com



Solucion Por Series De Colin Mclaurin Edo X 1 Y 4xy 2y 0 Youtube



Solved A Solve For The Solution Of The Following Ode Using Integrating Factor Y 2 3cosx 1 X2 Y 4xy 1 X2 2 Ydx Yey Zx Dy 4 Xy 1 X Y E Sin Zx



Solved Consider The Differential Equation 3y 4xy 2 Dx 2x 3x 2 Y Dy Course Hero



Solved Verily That The Given Functions Form A Fundamental Set Of Solutions Of The Differential Equation Oh The Indicated Interval Form The General Solution 1 Y 6xy 4xy 4y 0



Prove That The Conic X 2 4xy Y 2 2x y 11 0 Is A Hyperbola And Find The Centre H K Mathematics Stack Exchange



2



Ml Aggarwal Solutions For Class 9 Maths Chapter 5 Simultaneous Linear Equations



6 2 17 Find Power Series Solutions Of 4xy 1 2 Y Y 0 De Youtube



Solved 1 Find General Solutions In Powers Of R Of The Chegg Com



Series Solutions Of Odes 微分方程式之級數解 Special Functions 特殊方程式 Ppt Video Online Download



Solved The Point X 0 Is A Regular Singular Point Of The Given Differential Equation 4xy 1 2 Y Y 0 1 Show That The Indicial Roots R Of The Sing Course Hero



2 Pdf Pdf Equations Elementary Mathematics



Q Tbn And9gcrgyf0o Qjab2fbpdks9uauou4seudtr2wiyrc Ca6l4itj Qfp Usqp Cau



What Is The Solution To The Differential Equation Math 1 X 2 Y 2xy 2y 0 Math Quora



Solved Find The General Solution In Powers Of X Of The Chegg Com



2



Solved Find The General Solution Of The Given System Dx Dt 4x 2y Dy Dt 5 2x 2y



2



Problem Set7 Pdf



Ode Y Xy 2y 0 Power Series Solution About An Ordinary Point Youtube



2x 3y Z 0 X 2y 3z 0 4x Y 2z 0 The System Of Equations Have A Non Trivial Solution



Solved 2 Solve The Initial Value Problem Y X Y2 2y 0 Y 2 1 3 Solve The Initial Value Problem 6x2y2 4x3y 0 Y 0 1 4 Find The General Explicit Solution To Xy Y2 Y X2



Differential Equation Variation Of Parameters X 2y 4xy 6y X 4 Youtube



Determine The General Solution Of The Given Differential Equ Quizlet



Solved Consider The Equation X 2 Y 4xy X 2 1 Y Chegg Com



How To Use The Power Series Method To Solve Y X 2 Y Y 0 Quora



Solve The Following X 2 4xy 2y 2 Dx Y 2 4xy 2x 2 Dy 0



How To Solve The De Math X 2 Y 4xy 6y 2x 2 Ln X Math Quora



Solving A System Of Equations Using A Matrix Precalculus Socratic



Solve X 2 4xy 2y 2 Dx Y 2 4xy 2x 2 Dy 0


0 件のコメント:
コメントを投稿